关于我们
About us关于我们

一切是这样开始的
一切始于1962年的德国,当时hpg Plastics的创始人与陶氏化学公司携手合作,寻求一种性能优于当时塑料市场标准的新型材料。他们共同研发出了首批PE-RT颗粒,凭借其卓越的性能,彻底革新了管道和供暖市场。
公司成立于1982年
1984年,陶氏化学公司与hpg塑料公司合作开发出第一种PE-RT塑料。
1985年,hpg Plastics公司生产出世界上第一根PE-RT管道。
2004年,首款五层PE-RT管材研发成功并推向市场。
2005 年, hpg plastics公司生产的 PE-RT 塑料地暖系统获得了全球首个CE标志。
2006年,hpg FLEXOLEN® >MIDI<Soft 研发成功并上市,堪称市场上最柔软的管子。
2011年,开发了用于翻新应用的>me8nder<干式安装系统
2013年,上海青鱼节能科技有限公司与德国意普缔结战略合作伙伴关系,并获授权成为意普地暖管在中国区域的独家代理商
2015年,YBP逆转阻氧管成功完成研发并正式推向市场
2015年,hpg inverse®上市,这是一种具有反向层结构的创新型PE-RT管道。
2023年, Huliot集团收购hpg Plastics GmbH

质量是我们的首要任务
hpg Plastics 不仅仅是一家国际公司。我们是客户的开发合作伙伴,也是全球最大塑料制造商的卓越中心,我们凭借在加工和应用技术方面的专业知识为他们提供支持。我们的内部实验室和测试设施的运行标准与 KIWA 的标准相当。我们生产的每一根管道都经过严格的测试程序。通过这种方式,我们致力于挖掘新的市场潜力,并为我们的客户和产品用户创造机遇。我们开发新的解决方案,进行技术计算,生产样品管道,并建造中试工厂。PE-RT 的卓越性能使其在德国(DIN 16833)和国际(ISO 24033、ISO 22391、ISO 21003)均获得全面标准化,并成为建筑项目的新标准。我们的产品、生产流程和质量管理定期接受独立测试机构的监督。
我们让您安心:提供 10 年制造商保修,全额赔偿损失;另提供 40 年制造商保修,用于更换管道。
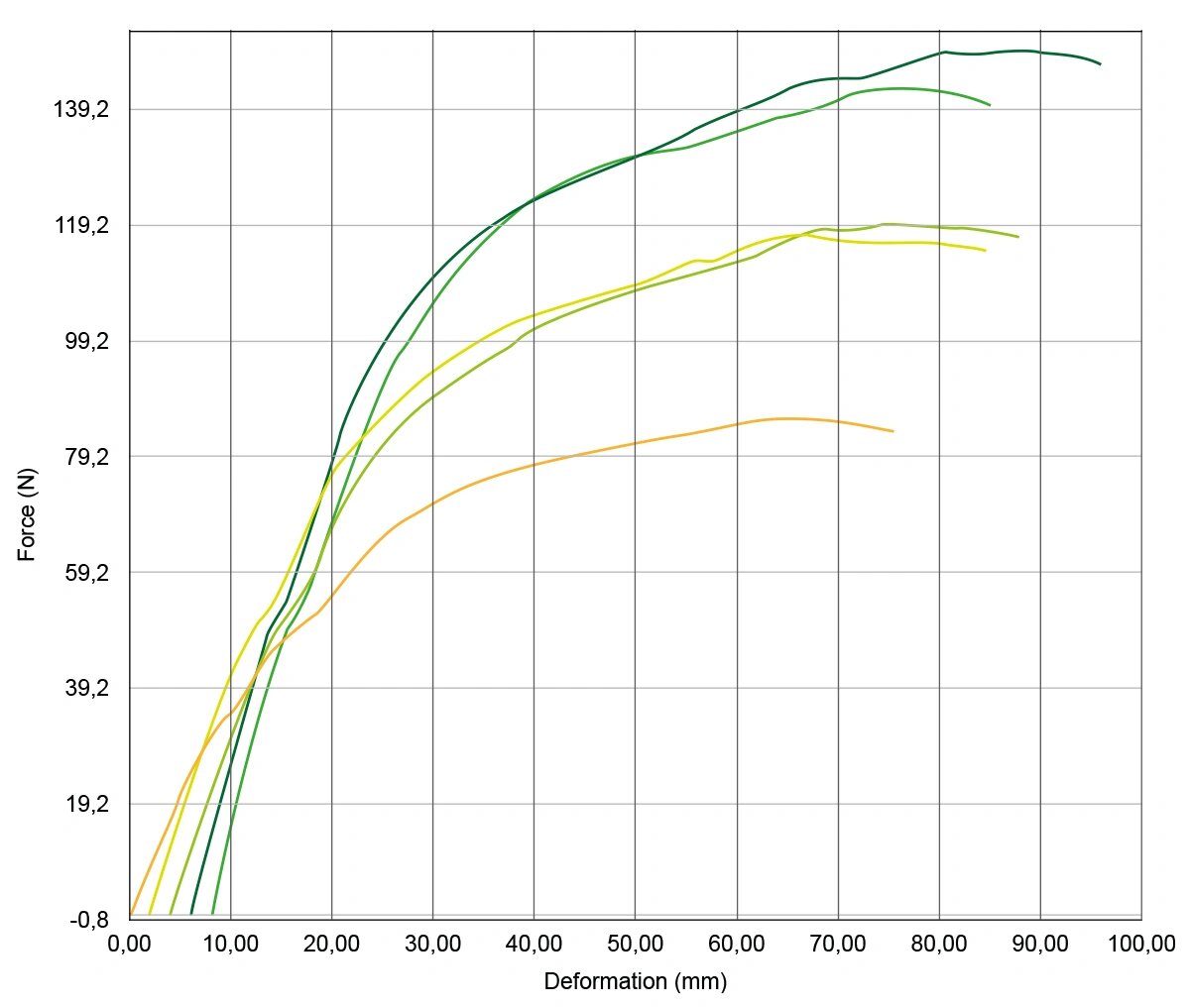
我们的 PE-RT 型地暖管道与 PEXc 型管道相比,柔韧性有所不同。
该图显示了产生与相同尺寸但由不同材料制成的 5 层复合管道相同弯曲所需的力。


灵活是我们的优势
您的成功就是我们的成功。因此,我们的目标是凭借强大的创新能力,将您的个性化需求转化为完美的系统和产品。我们拥有卓越的灵活性,能够满足您的最高要求,并提供符合您需求的定制化产品。您可以选择材质、颜色、尺寸和名称——所有产品均品质卓越,德国制造。
作为一家拥有悠久历史和高度组织性的公司,我们始终着眼未来,关注瞬息万变的市场,您将从中受益。此外,我们公司各个层面——从管理、研发到生产和物流——都将全力支持您,并体现出我们的高度敬业精神。
您的满意是我们的目标
四十多年来,我们的团队始终致力于研发品质卓越的创新产品。我们深厚的专业知识和对产品的热情是我们赢得您信赖的基石。这使我们能够灵活地为各种应用场景提供定制化解决方案。
作为一家拥有悠久传统的公司,我们深知合作关系对于产品的长久耐用、品质卓越和可靠性至关重要。我们不仅将这种承诺体现在质量管理和国际认证上,更体现在我们对可持续发展和环境保护的责任感上。
通过研发实现创新
秉承“自1984年以来,我们对管道充满热情”的理念,我们致力于开发市场上最具创新性的解决方案。多年来,我们与多家塑料制造商,特别是市场领导者陶氏化学(DOW)保持着密切的合作关系,这使我们在创新方面拥有显著的竞争优势。凭借我们卓越的材料和生产技术,我们为这些合作伙伴进行加工测试和研究,从而深入了解最新的材料。hpg Plastics与陶氏化学联合开发的PE-RT材料现已在全球范围内得到应用,充分体现了双方合作的成功。该材料具有耐高压、耐高温和高柔韧性等优异性能,为管道行业树立了新的标杆。

我们珍视资源
在hpg Plastics,我们高度重视对环境及其资源的责任,并不断致力于优化生产、工艺和产品,以可持续发展为核心。我们的承诺得到了母公司Huliot集团“Huliot绿色环保计划”的支持,该计划在所有业务领域持续推进可持续发展措施。
在产品生产过程中,我们努力在生产流程中建立可持续措施:通过使用筒仓储存原材料、最大限度地利用托盘以及在生产设施中使用封闭式冷却水通道,我们已经成功减少了浪费和二氧化碳排放总量,并节省了宝贵的资源。
胡利奥特绿色环保计划
过去十年间,Huliot集团在环境保护方面实现了转型。通过实施“Huliot绿色环保”计划,公司在各个层面持续推行可持续发展措施。因此,公司成功减少了95%的废弃物。此外,公司还在不断推进更环保的原材料和生产工艺的整合,以及对回收利用潜力的充分利用。
PE-RT:今日与明日的塑料
hpg Plastics不仅发明了PE-RT,而且至今仍自豪地只生产PE-RT产品。我们的管道完全可回收利用。这意味着,在其生命周期结束时,我们的产品可以在回收厂进行处理,以实现再利用,而不是最终被填埋。
PE-RT的更多生态优势
PE-RT及其生产过程具有许多积极的特性,与其他塑料相比,这些特性有利于环境保护:
• PE-RT 的使用寿命非常长,至少可达 50 年,因此不仅经济高效,而且还能节约资源。
• PE-RT产品在加工和处理过程中不使用或释放任何有毒化学物质。这使得PE-RT成为一种特别安全的材料——对生产工人、工厂维修人员以及与其共同生活的人们来说都是如此。
• 与传统的供暖管道材料相比,我们生产的 PE-RT 产品通常需要更少的能源。
• PE-RT 是 100% 可回收的。
胡利奥特绿色环保原则
• 不断优化生产和原材料的使用,以寻求更环保的替代方案。
• 通过调整废物管理方式,大幅减少自身的二氧化碳排放量。
• 在所有业务领域持续监控“再利用、转售、回收”准则的实施情况。
公司成立于
1982年
现有技术人员
300余人
用心服务客户
365天
资料下载